CMR - Colégio Militar do Recife
Al. Valesca nº
Al. Victor Henrique nº 2758
Turma: EXATAS 302.
Exercícios, explicações e pesquisas sobre Física moderna.
01) Ex. 01 - Pg. 470 : Quando um múon é observado em repouso, sua vida média é de 2,2 . 10-6 s. Considere um múon movendo-se com velocidade v = 1,8 . 108 m/s em relação a um laboratório. Qual é a vida média desse múon, medida em laboratório?
Explicação: No experimento descrito na página em anexo, percebemos que alguns múons chegam a superfície devido a relatividade do tempo. Vemos acima que em um laboratório, a vida média do múon seria maior, comprovando o que o experimento afirma. Isso se dá porque o tempo é mais devagar de "fora" do múon do que de "dentro". É como se tivéssemos dois tempos diferentes. Quando analizamos ele em repouso, analizamos como se estivéssemos "dentro" do múon e, por tabela, ao analizarmos na terra, analizamos de "fora" dele. Devemos considerar que o referencial é diferente porque ele está em movimento e nós observando, nos lembrando o experimento no vagão no início do capítulo.
02) Ex. 04 - Pg. 471 : Uma mola de contante elástica k = 4,0 . 104 N/m está inicialmente distendida. Se essa mola for comprimida de 6,0 cm, qual será seu acréscimo de massa?
Explicação: Na mola acima, constatamos que a massa da mola permaneceu. O que calculamos foi a massa da energia fornecida à mola para sua compressão. A massa da mola incial continua lá. O que aumentou foi a introdução de energia externa, comprovando a tese de Lavosier que a massa se conserva mesmo perante qualquer relação química.
03) Ex. 06 - Pg. 471 : No tubo de um televisor em cores, os elétrons são acelerados a partir do repouso por uma diferença de potencial U = 2,5 . 104 volts até atingir a tela. Dados: massa de repouso do elétron = 9,11 . 10-31 kg; carga elementar = 1,6 . 10-19 C. a) a energia cinética ganha pelo elétron até atingir a tela; b) a massa do elétron ao atingir a tela; c) a velocidade do elétron ao atingir a tela.
Explicação: Existem diversos projetos em andamento ao redor do mundo, com a finalidade de obter o domínio da tecnologia de fusão nuclear para fins de geração controlada de energia elétrica.
Um dos projetos em andamento é o ITER (International Thermonuclear Experimental Reactor), baseado na tecnologia do Tokamak. O financiamento internacional deste projeto ultrapassa a barreira dos 10 bilhões de dólares. Outras abordagens alternativas para tentar chegar ao domínio da fusão nuclear são estudadas por diversos cientistas. Alguns exemplos são a tecnologia de focus fusion, desenvolvida pelo físico Eric Lerner; a fusão por bolhas (sonofusion); e o confinamento eletrostático-inercial (IEC), proposto por Robert Bussard. A NASA está atualmente desenvolvendo reatores de fusão de pequena escala para o fornecimento de energia a foguetes no espaço sideral. A propulsão a fusão proporcionaria um fornecimento ilimitado de combustível (hidrogênio), seria mais eficiente e poderia levar a foguetes mais velozes.
04) Ex. 9 - Pg. 471 : Uma das possíves reações de fusão em que três núcleos de urânio está representada a seguir. Em que um nêutron atinge o núcleo de urânio-235 de modo que após a fissão temos um núcleo de cério-140, um núcleo de zircônio-94 e dois nêutrons. São dadas as seguintes massas: mN = 1,00867u; mU = 235,04; mCe = 139,91 u; mZr = 93,91 u. Adotando 1 u = 1,66 . 10-27 kg e c = 3,0 . 108 m/s e desprezando as energias cinéticas iniciais do nêutron e do urânio, calcule a energia liberada nessa fisão: a) em joules; b) em MeV.
Explicação: A fissão nuclear é utilizada para a geração de energia em reatores, em usina nucleares e ,principalmente, para a fabricação de bombas atômicas. Se discute se é uma fonte limpa e aceitável mediante a tantos acidentes como o que ocorreu em Chernobyl e a tantas atrocidades cometidas em seu uso como as bombas nuclear em Hiroshima e Nagasaki.
05) Explicação: Ambas visam o aperfoiçoamento na obtenção de energia. A fusão se mostrou mais eficiente por ser mais abundante (o deutério pode ser encontrado na água do mar, ao contrário do urânio que é raro), segurança (as reações para fusão são bastantes pequenas se comparados ao de fusão. Além de que se propaga menos radiação do que até estamos acostumados) e limpa (não há combustão, então não há poluição do ar e produz bem menos lixo nuclear.)
06) Ex. 5 - Pg. 482 : Para que a prata exiba o efeito fotoelétrico é necessária uma frequência mínima fc = 1,14 . 1015 Hz (frequência de corte). a) Calcule a energia mínima (função trabalho) para "arrancar" um elétron de uma placa de prata; b) Quando uma radiação de frequência f = 2,8 . 1015 Hz atinge a placa, qual a máxima energia cinética dos elétrons emitidos?; c) Para a situação do item b, qual a velocidade máxima dos elétrons emitidos? (Dado : massa do elétron = 9,11 . 10-31 kg.)


Explicação: o sistema de iluminação pública é composto pelo poste candeeiro, uma unidade de regulação e controle e módulo (s) fotovoltáico (s). Em circuitos de iluminação de exteriores é muito comum o comando de ligação e desligamento ser automático por elementos fotosensíveis. Estes elementos são instalados individualmente junto a cada lâmpada e operam segundo a intensidade de luz recebida (ligam de 8 a 0 e desligam de 80 a 100 luz). Estes dispositivos são muito úteis porque eliminam o fio-piloto para o comando das lâmpadas, bem como o operador para apagar e acender. Também podem se utilizar células fotoelétricas para comandar várias lâmpadas ou projetores, utilizando-se contactores cujo circuito de comando é controlado por um elemento fotosensível. A célula fotolétrica é construída por um eletrodo metálico coberto por uma substância que emite elétrons quando iluminada. Os elétrons são recolhidos por outro eletrodo, formando uma retícula metálica, dando origem a uma corrente elétrica. A corrente só se interrompe quando alguma se interpõe entre a luz e a célula fotoelétrica.
07) Ex. 8 - Pg. 482 : Um elétron move-se com velocidad v = 4,0 . 105 m/s. Sabendo que a massa do elétron é 9,11 10-31 kg, calcule o comportamento de onda associado a esse elétron.
Explicação: Faça o mesmo cálculo para as massas e velocidades típicas dos seguintes objetos: a) Corredor medalhista olímpico de 100 m rasos; b) Carro de fórmula 1 no final de uma rota; c) Avião caça super sônico.
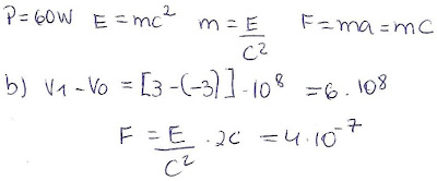
08) Ex. 9 - Pg. 482 : Uma lanterna emite luz com potência = 60 W, e o feixe de luz incide, perpendicularmente, em uma superfície. Calcule a intensidade da força exercida sobre a superfície nos seguinte casos: a) A luz é totalmente absorvida pela superfície; b) A luz é totalmente refletida pela superfície.
09) Explicação: Considerando o esquema da figura, no qual vemos as peças já descritas e a maneira como estão ligadas. Fechando o interruptor, a corrente segue o circuito assinalado pelas setas. Os filamentos da lâmada são aquecidos e inicia-se a descarga entre os contatos. esta descarga aquece os elementos bimetálicos e, assim, os contatos se fecham; pouco depois de fechados os contatos, cessa a descarga, o que provoca rápido esfriamento. Assim, o elemento bimetálico faz os contatos abrirem novamente e esta abertura interrompe a corrente no reator. Esta "sobretensão" faz romper um arco elétrico entre os filamentos e o circuito fecha-se através do interior da lâmpad e não mais pelo starter. Os elétrons, deslocando-se através dos filamentos a outros, esbarram em seu trajeto com os átomos de vapor do mercúrio. Estes choques provocam liberação de energia luminosa não-visível, tipo radiação ultra-violeta. Estas radiaçõesse transmitem em todas as direções e , em contato com a pintura flourescente do tubo, produz radiação luminosa visível. As setas indicam o caminho do circuito depois que se inicia a descarga pelo interior da lâmpada. Como a resistência oposta ao deslocamento dos elétrons é muito pequena, a tendência da corrente (em amperes) é se elevar muito, porém o reator age como elemento limitador da corrente, pois nada mais é que uma impendência. Assim, o reator representa uma pequena perda de energia (carga) medida em watts. Esse tipo de iluminação é um dos de maior rendimento, pois uma lâmpada branca de 40 W emite 2900 lumens.10) Ex. 11 - Pg. 482 : Em um tipo de tudo de raio X, elétrons acelerados por uma diferença de potencial de 2,0 . 104 V atingem um alvo de metal, onde são violentamente desacelerados. Ao atingir o metal, toda a energia cinética dos elétrons é transformada em raios X. a) Calcule a energia cinética que um elétron adquire ao ser acelerado pela diferença de potencial; b) Calcule o menor comprimento de onda possível para raios X produzidos por esse tubo.

Explicação: Na medicina, os raios X servem para diagnosticar doenças. São utilizados nas análises de condições de órgãos internos, usados para detectar tuberculose pulmonar que se trata de uma pequena incidência sobre uma pequena área num pequeno intervalo de tempo. Tubos de raios X convencionais podem ser usados no tratamento do câncer de pele, alguns tumores; geralmente com finalidades terapêuticas.









" Trem-bala magnético é inaugurado na China. O primeiro trem comercial de alta velocidade do mundo com o uso da tecnologia de levitação magnética fez nesta terça-feira sua viagem inaugural na cidade chinesa de Xangai. O trem, de tecnologia alemã, liga o centro de Xangai ao aeroporto da cidade, e foi inaugurado pelo primeiro-ministro chinês, Zhu Ronji, e pelo chanceler alemão, Gerhard Schröder, que está visitando a China.Com o uso de poderosos imãs, que fazem o trem flutuar no ar sobre os trilhos, o trem atinge até 400 km/h, e completa o trajeto de 30 km entre a cidade e o aeroporto em oito minutos.A China já comprou três trens do tipo, construídos pelo consórcio alemão Transrapid – que une as empresas alemãs ThyssenKrupp AG e Siemens AG e o governo da Alemanha." 31 de Dezembro, 2002. BBC Brasil.com
